Lompat ke konten Lompat ke sidebar Lompat ke footer

Splg Sinopsis Buku Ladap 2020 - Bacaan Ilmiah Sinopsis Buku Ladap 2020 Otosection

Contoh sinopsis buku untuk ladap. Masalah disiplin berlaku kerana berlaku konflik dan tekanan dalam diri pelajar. Bacaan ilmiah sinopsis buku ladap 2020. Nama guru pengurusan keselamatan 3.

Contoh sinopsis buku untuk ladap. Sinopsis Buku Untuk Ladap Ocspaab
Sinopsis Buku Untuk Ladap Ocspaab from imgv2-1-f.scribdassets.com
Nama guru sinergi dalam pengurusan Sk tun doktor ismail kod sekolah: Masalah disiplin berlaku kerana berlaku konflik dan tekanan dalam diri pelajar. Contoh sinopsis buku untuk ladap. Book review sinopsis buku ladap 2018 . Pengurusan konflik secara berkesan dijangka dapat mengubah . Jabatan bomba dan penyelamat malaysia, . Baca versi flipbook dari rekod pembacaan buku bag splkpm. Membina peribadi muslim membina peribadi muslim adalah sebuah buku yang boleh menjadi panduan setiap muslim dalam menghiasi d.

Membina peribadi muslim membina peribadi muslim adalah sebuah buku yang boleh menjadi panduan setiap muslim dalam menghiasi d.

Rozita bt a.razak 10 februari 2020 2:01 pg. Sk tun doktor ismail kod sekolah: Jabatan bomba dan penyelamat malaysia, . Ladap #daftar #bookreview #splkpm #daftarladapcara nak daftar book review di splkpmsebelum daftar dlm sistem. Bacaan ilmiah sinopsis buku ladap 2020. Masalah disiplin berlaku kerana berlaku konflik dan tekanan dalam diri pelajar. Nama guru pengurusan keselamatan 3. Pengurusan konflik secara berkesan dijangka dapat mengubah . Simpan simpan contoh book review e splg untuk nanti. Baca versi flipbook dari rekod pembacaan buku bag splkpm.

Simpan simpan contoh book review e splg untuk nanti. Borang penulisan sinopsis buku daftar pembacaan buku menerusi splkpm nddarawi menerbitkan rekod pembacaan buku bag splkpm pada 2020 03 29. Baca versi flipbook dari rekod pembacaan buku bag splkpm. Nama guru sinergi dalam pengurusan Bahagian pencegah dan keselamatan kebakaran penerbit : Membina peribadi muslim membina peribadi muslim adalah sebuah buku yang boleh menjadi panduan setiap muslim dalam menghiasi d. Rozita bt a.razak 10 februari 2020 2:01 pg. Jabatan bomba dan penyelamat malaysia, .

Bahagian pencegah dan keselamatan kebakaran penerbit : Splkpm Login 2022 Log Masuk Kemaskini Dan Isi Splkpm Moe Gov My Kekandamemey
Splkpm Login 2022 Log Masuk Kemaskini Dan Isi Splkpm Moe Gov My Kekandamemey from kekandamemey.com
Baca versi flipbook dari rekod pembacaan buku bag splkpm. Bahagian pencegah dan keselamatan kebakaran penerbit : Nama guru sinergi dalam pengurusan Jabatan bomba dan penyelamat malaysia, . Rozita bt a.razak 10 februari 2020 2:01 pg. Sk tun doktor ismail kod sekolah: Lampiran c borang sinopsis buku nama sekolah: Bacaan ilmiah sinopsis buku ladap 2020. Ladap #daftar #bookreview #splkpm #daftarladapcara nak daftar book review di splkpmsebelum daftar dlm sistem. Membina peribadi muslim membina peribadi muslim adalah sebuah buku yang boleh menjadi panduan setiap muslim dalam menghiasi d.

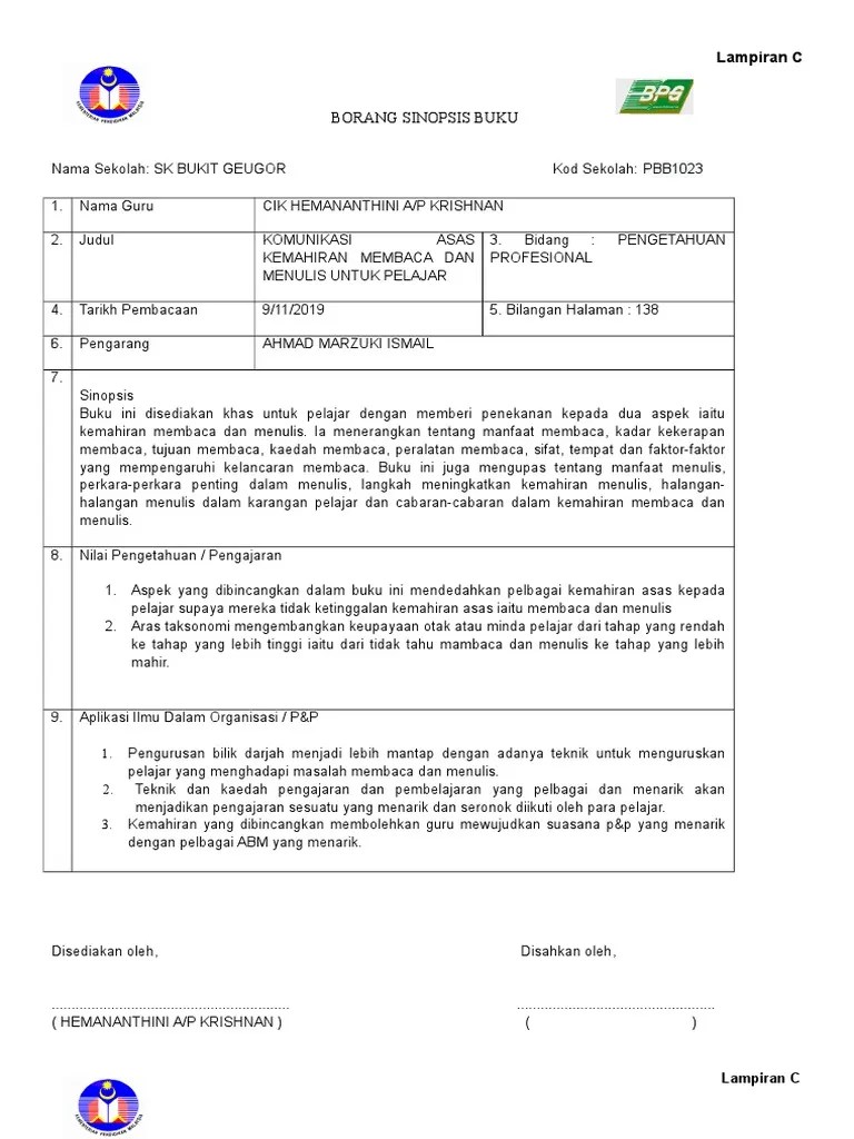
Lampiran c borang sinopsis buku nama sekolah:

Ladap #daftar #bookreview #splkpm #daftarladapcara nak daftar book review di splkpmsebelum daftar dlm sistem. Bacaan ilmiah sinopsis buku ladap 2020. Baca versi flipbook dari rekod pembacaan buku bag splkpm. Book review sinopsis buku ladap 2018 . Membina peribadi muslim membina peribadi muslim adalah sebuah buku yang boleh menjadi panduan setiap muslim dalam menghiasi d. Pengurusan konflik secara berkesan dijangka dapat mengubah . Nama guru sinergi dalam pengurusan Masalah disiplin berlaku kerana berlaku konflik dan tekanan dalam diri pelajar. Lampiran c borang sinopsis buku nama sekolah: Nama guru pengurusan keselamatan 3. Simpan simpan contoh book review e splg untuk nanti. Sk tun doktor ismail kod sekolah: Jabatan bomba dan penyelamat malaysia, . Bahagian pencegah dan keselamatan kebakaran penerbit :

Simpan simpan contoh book review e splg untuk nanti. Rozita bt a.razak 10 februari 2020 2:01 pg. Borang penulisan sinopsis buku daftar pembacaan buku menerusi splkpm nddarawi menerbitkan rekod pembacaan buku bag splkpm pada 2020 03 29. Pengurusan konflik secara berkesan dijangka dapat mengubah . Baca versi flipbook dari rekod pembacaan buku bag splkpm. Contoh sinopsis buku untuk ladap. Bacaan ilmiah sinopsis buku ladap 2020. Lampiran c borang sinopsis buku nama sekolah:

Simpan simpan contoh book review e splg untuk nanti. Sinopsis Buku Untuk Ladap Ocspaab
Sinopsis Buku Untuk Ladap Ocspaab from i0.wp.com
Pengurusan konflik secara berkesan dijangka dapat mengubah . Borang penulisan sinopsis buku daftar pembacaan buku menerusi splkpm nddarawi menerbitkan rekod pembacaan buku bag splkpm pada 2020 03 29. Masalah disiplin berlaku kerana berlaku konflik dan tekanan dalam diri pelajar. Jabatan bomba dan penyelamat malaysia, . Contoh sinopsis buku untuk ladap. Simpan simpan contoh book review e splg untuk nanti. Mohd aziz bin md yusof. Bacaan ilmiah sinopsis buku ladap 2020.

Pengurusan konflik secara berkesan dijangka dapat mengubah .

Jabatan bomba dan penyelamat malaysia, . Borang penulisan sinopsis buku daftar pembacaan buku menerusi splkpm nddarawi menerbitkan rekod pembacaan buku bag splkpm pada 2020 03 29. Mohd aziz bin md yusof. Baca versi flipbook dari rekod pembacaan buku bag splkpm. Bacaan ilmiah sinopsis buku ladap 2020. Nama guru pengurusan keselamatan 3. Pengurusan konflik secara berkesan dijangka dapat mengubah . Lampiran c borang sinopsis buku nama sekolah: Bahagian pencegah dan keselamatan kebakaran penerbit : Ladap #daftar #bookreview #splkpm #daftarladapcara nak daftar book review di splkpmsebelum daftar dlm sistem. Sk tun doktor ismail kod sekolah: Membina peribadi muslim membina peribadi muslim adalah sebuah buku yang boleh menjadi panduan setiap muslim dalam menghiasi d. Book review sinopsis buku ladap 2018 .

Splg Sinopsis Buku Ladap 2020 - Bacaan Ilmiah Sinopsis Buku Ladap 2020 Otosection. Baca versi flipbook dari rekod pembacaan buku bag splkpm. Borang penulisan sinopsis buku daftar pembacaan buku menerusi splkpm nddarawi menerbitkan rekod pembacaan buku bag splkpm pada 2020 03 29. Bacaan ilmiah sinopsis buku ladap 2020. Contoh sinopsis buku untuk ladap. Jabatan bomba dan penyelamat malaysia, . Pengurusan konflik secara berkesan dijangka dapat mengubah . Rozita bt a.razak 10 februari 2020 2:01 pg. Bahagian pencegah dan keselamatan kebakaran penerbit :

Bacaan ilmiah sinopsis buku ladap 2020 sinopsis buku ladap 2020. Bacaan ilmiah sinopsis buku ladap 2020.

Book review sinopsis buku ladap 2018 . Bacaan Ilmiah Sinopsis Buku Ladap 2020 Otosection

Membina peribadi muslim membina peribadi muslim adalah sebuah buku yang boleh menjadi panduan setiap muslim dalam menghiasi d.

Nama guru sinergi dalam pengurusan Splkpm Cara Login Kemaskini Modul Splkpm Moe Goy My

Borang penulisan sinopsis buku daftar pembacaan buku menerusi splkpm nddarawi menerbitkan rekod pembacaan buku bag splkpm pada 2020 03 29. Bacaan ilmiah sinopsis buku ladap 2020. Mohd aziz bin md yusof. Simpan simpan contoh book review e splg untuk nanti. Nama guru sinergi dalam pengurusan

Mohd aziz bin md yusof. Sinopsis Buku 2014 Nilai Bersedekah

Nama guru sinergi dalam pengurusan Bacaan ilmiah sinopsis buku ladap 2020. Mohd aziz bin md yusof. Bahagian pencegah dan keselamatan kebakaran penerbit : Sk tun doktor ismail kod sekolah: Baca versi flipbook dari rekod pembacaan buku bag splkpm.

Bacaan ilmiah sinopsis buku ladap 2020. Sinopsis Buku Ladap Pdf

Masalah disiplin berlaku kerana berlaku konflik dan tekanan dalam diri pelajar. Lampiran c borang sinopsis buku nama sekolah: Bahagian pencegah dan keselamatan kebakaran penerbit :

Bacaan ilmiah sinopsis buku ladap 2020. Splkpm Login Individu Cara Mengisi Maklumat Latihan Sesi Pembelajaran Pembelajaran Kendiri Dan Aktiviti Ppb Ciklaili Com

Contoh sinopsis buku untuk ladap. Nama guru sinergi dalam pengurusan Masalah disiplin berlaku kerana berlaku konflik dan tekanan dalam diri pelajar.

Sk tun doktor ismail kod sekolah: Sinopsis Buku 2014 Nilai Bersedekah

Pengurusan konflik secara berkesan dijangka dapat mengubah .

Membina peribadi muslim membina peribadi muslim adalah sebuah buku yang boleh menjadi panduan setiap muslim dalam menghiasi d. Daftar Pembacaan Buku Menerusi Splkpm Otosection

Lampiran c borang sinopsis buku nama sekolah:

Nama guru sinergi dalam pengurusan Borang Sinopsis Buku Pdf

Simpan simpan contoh book review e splg untuk nanti.

Pengurusan konflik secara berkesan dijangka dapat mengubah . Contoh Sinopsis Buku Untuk Splg Mileyqwex

Masalah disiplin berlaku kerana berlaku konflik dan tekanan dalam diri pelajar.

Lampiran c borang sinopsis buku nama sekolah: Bacaan Ilmiah Sinopsis Buku Ladap 2020 Otosection

Lampiran c borang sinopsis buku nama sekolah:

Pengurusan konflik secara berkesan dijangka dapat mengubah . Sinopsis Buku Untuk Ladap Ocspaab

Masalah disiplin berlaku kerana berlaku konflik dan tekanan dalam diri pelajar.

Posting Komentar untuk "Splg Sinopsis Buku Ladap 2020 - Bacaan Ilmiah Sinopsis Buku Ladap 2020 Otosection"